Estructura del ADN
El ADN es una estructura común en todas las células, aunque es diferente en algunos virus.
Los ácidos nucleicos se organizan en estructura primaria y estructura secundaria, siendo el ADN la segunda.
La estructura secundaria consiste en la unión entre dos cadenas de polinucleótidos a través de sus bases nitrogenadas y enrolladas espacialmente obteniendo una forma helicoidal.

Composición Química
Como ya hemos mencionado antes, las cadenas de ADN, están conformadas por nucleótidos.
Y estos a su vez están formados por bases nitrogenadas, pentosa desoxirribosa y el grupo fosfato

BASE NITROGENADA
Las bases nitrogenadas son compuestos orgánicos cíclicos con dos o más átomos de nitrógeno. Las bases purínicas (derivadas de la estructura purina) y las bases pirimidínicas (derivadas de la estructura pirimidina) son las dos categorías principales de las cinco bases nitrogenadas principales que existen biológicamente.
La timina (T), la citosina (C) y el uracilo (U) son pirimidinas, mientras que la adenina (A) y la guanina (G) son purinas.
Las primeras cuatro bases están presentes en el ADN, pero en lugar de timina, hay uracilo en el ARN.

PENTOSA DESOXIRRIBOSA
Desoxirribosa, un azúcar de fórmula C5H10O4, se deriva de la ribosa por la pérdida de un átomo de oxígeno en el hidroxilo de 2'. Este azúcar es un sólido cristalino e incoloro que se puede disolver fácilmente en agua. La forma furanosa, también conocida como anillo pentagonal, es una parte de los nucleótidos que componen las cadenas del ácido desoxirribonucleico (ADN). Es una pentosa, un monosacárido de cinco átomos de carbono, que se deriva de la ribosa, un componente de la estructura de nucleótidos del ADN. Aunque tiene una estructura similar a la ribosa, el carbono 2 carece de un grupo alcohol.

GRUPO FOSFATO
El grupo fosfato es un ion poliatómico con fórmula empírica PO43−. Está compuesto por un átomo de fósforo en el centro rodeado por cuatro átomos de oxígeno idénticos en una disposición tetraédrica.
Uno de los grupos funcionales más cruciales para la vida es el grupo fosfato. Existe en los nucleótidos, tanto en los que conforman los ácidos nucleicos (ADN y ARN) como en el ATP. Además, se encuentra en los fosfolípidos (bicapa lipídica) . El grupo fosfato forma enlaces fosfodiéster en ácidos nucleicos y fosfolípidos.
¿Cómo están unidos?
Tipos de enlaces

En el ADN existen diferentes enlaces que permiten que se forme la estructura. Adquiriendo esa forma helicoidal.
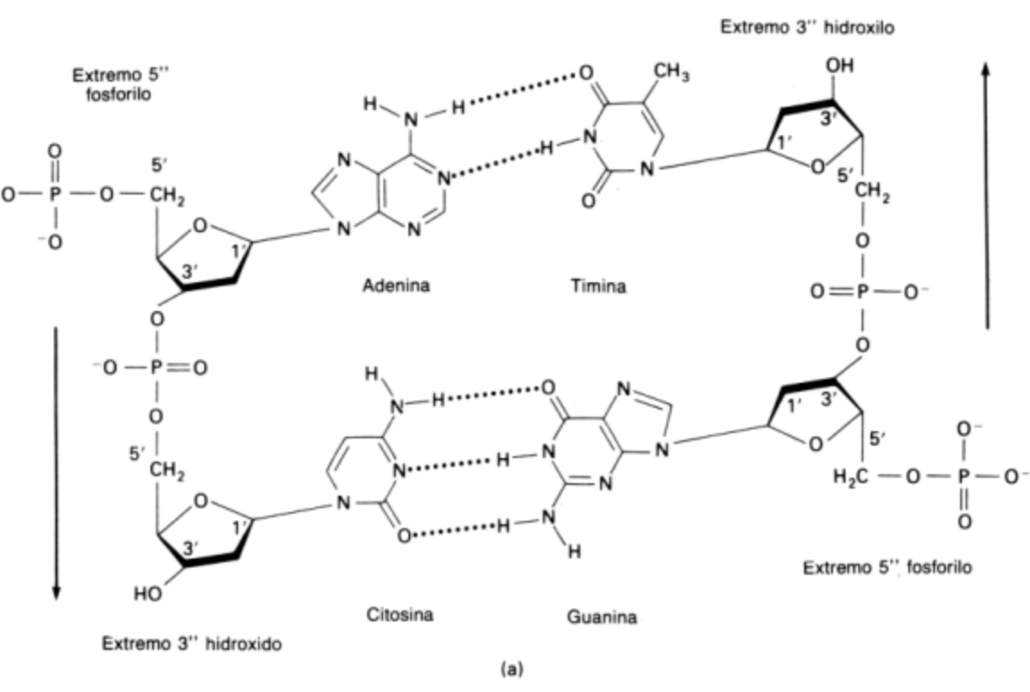
En el ADN existen el enlace fosfodiéster (entre nucleótidos de una misma cadena) y el enlace de los puentes de hidrógeno (entre bases nitrogenadas de las cadenas complementarias).

Enlace FOSFODIÉSTER
El enlace fosfodiéster se da entre un grupo fosfato (-PO43-) y un grupo hidroxilo (-OH). Una molécula de agua (H2O) se produce cuando se forma el enlace.
Los enlaces fosfodiésteres junto con los azúcares forman el esqueleto de las moléculas de ácidos nucleicos.
¿Cómo se forma?
Un grupo fosfato y un grupo hidroxilo se unen para formar un enlace fosfodiéster. Uniendo el C5' de una pentosa con el C3' de la otra pentosa.

Puente de HIDRÓGENO
Son los enlaces que conectan las bases nitrogenadas de ambas cadenas. La citosina y la guanina se unen mediante tres puentes de hidrógeno, mientras que la adenina y la timina se unen mediante dos puentes de hidrógeno.
¿Cómo se forma?
Cuando un átomo de hidrógeno se encuentra entre dos átomos más electronegativos, se crea un enlace de hidrógeno o puente de hidrógeno.


